Toczenie
Kalkulator parametrów skrawania
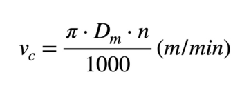
Prędkość skrawania (Vc)

| Vc (m/min) | Prędkość skrawania |
|---|---|
| Dm (mm) | Średnica przedmiotu |
| n (obr/min) | Obroty wrzeciona |

Oblicz prędkość skrawania:
Wprowadź średnicę przedmiotu [Dm]:  [mm]
Wprowadź obroty wrzeciona [n]:  [obr/min]
Posuw (f)

| f (mm/obr) | Posuw na obrót |
|---|---|
| l (mm/min) | Długość skrawania |
| n (obr/min) | Obroty wrzeciona |
Oblicz posuw:
Wprowadź długość skrawania [l]:  [mm/min]
Wprowadź obroty wrzeciona [n]:  [obr/min]
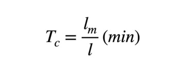
Czas skrawania (Tc)

| Tc (min) | Czas skrawania |
|---|---|
| lm (mm) | Długość przedmiotu obrabianego |
| l (mm/min) | Długość skrawania na minutę |
Oblicz czas skrawania:
Wprowadź długość przedmiotu obrabianego [lm]:  [mm]
Wprowadź długość skrawania na minutę [l]:  [mm/min]
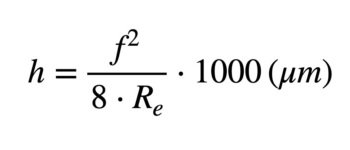
Teoretyczna chropowatość powierzchni po obróbce (h)

| h (μm) | Chropowatość powierzchni po obróbce |
|---|---|
| f (mm/obr) | Posuw na obrót |
| Re (mm) | Promień naroża płytki |
Oblicz teoretyczną chropowatość powierzchni:
Wprowadź posuw na obrót [f]:  [mm/obr]
Wprowadź promień naroża płytki [mm]:  [mm]
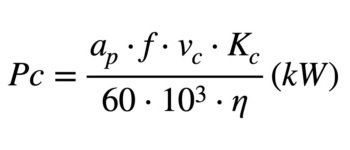
Zapotrzebowanie mocy (Pc)

| Pc (kW) | Zapotrzebowanie mocy |
|---|---|
| ap (mm) | Głębokość skrawania |
| f (mm/obr.) | Posuw na obrót |
| Vc (m/min) | Prędkość skrawania |
|---|---|
| Kc (MPa) | Opór właściwy skrawania |
| η | Współczynnik sprawności |
Oblicz zapotrzebowanie mocy:
Wprowadź głębokość skrawania [ap]:  [mm]
Wprowadź posuw na obrót [f]:  [mm/obr.]
Wprowadź prędkość skrawania [Vc]:  [m/min]
Wprowadź opór właściwy skrawania [Kc]:  [MPa]
Wprowadź współczynnik sprawności [η]:
| Materiał przedmiotu obrabianego | Wytrzymałość na rozciąganie (MPa) i twardość | Opór właściwy skrawania Kc (MPa) | ||||
| 0.1 (mm/obr.) | 0.2 (mm/obr.) | 0.3 (mm/obr.) | 0.4 (mm/obr.) | 0.6 (mm/obr.) | ||
| Stal konstrukcyjna | 520 | 3610 | 3100 | 2720 | 2500 | 2280 |
| Stal stopowa | 620 | 3080 | 2700 | 2570 | 2450 | 2300 |
| Stal hartowana | 720 | 4050 | 3600 | 3250 | 2950 | 2640 |
| Stal narzędziowa | 670 | 3040 | 2800 | 2630 | 2500 | 2400 |
| Stal narzędziowa | 770 | 3150 | 2850 | 2620 | 2450 | 2340 |
| Stal chromowo-manganowa | 770 | 3830 | 3250 | 2900 | 2650 | 2400 |
| Stal chromowo-manganowa | 630 | 4510 | 3900 | 3240 | 2900 | 2630 |
| Stal chromowo-molibdenowa | 730 | 4500 | 3900 | 3400 | 3150 | 2850 |
| Stal chromowo-molibdenowa | 600 | 3610 | 3200 | 2880 | 2700 | 2500 |
| Stal chromowo-molibdenowo-niklowa | 900 | 3070 | 2650 | 2350 | 2200 | 1980 |
| Stal chromowo-molibdenowo-niklowa | 352HB | 3310 | 2900 | 2580 | 2400 | 2200 |
| Żeliwo sferoidalne (GGG) | 46HRC | 3190 | 2800 | 2600 | 2450 | 2270 |
| Żeliwo perlityczne | 360 | 2300 | 1930 | 1730 | 1600 | 1450 |
| Żeliwo szare | 200HB | 2110 | 1800 | 1600 | 1400 | 1330 |