Wiercenie
Kalkulator parametrów wiercenia
Prędkość skrawania (Vc)

| Vc (m/min) | Prędkość skrawania |
|---|---|
| D1 (mm) | Średnica wiertła |
| n (obr/min) | Obroty wrzeciona |

Oblicz prędkość skrawania:
Wprowadź średnicę wiertła [D1]:  [mm]
Wprowadź obroty wrzeciona [n]:  [obr/min]
Posuw wrzeciona (vf)

| vf (mm/min) | Posuw wrzeciona (oś Z) |
|---|---|
| f (mm/obr) | Posuw na obrót |
| n (obr/min) | Prędkość obrotowa wrzeciona |
Oblicz posuw:
Wprowadź posuw na obrót [f]:  [mm/obr]
Wprowadź obroty wrzeciona [n]:  [obr/min]
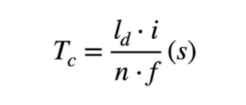
Czas wiercenia (Tc)

| Tc (min) | Czas wiercenia |
|---|---|
| ld (mm) | Głębokość otworu |
| i | Liczba otworów |
| n (obr/min) | Prędkość obrotowa |
| f (mm/obr) | Posuw na obrót |
Oblicz czas wiercenia:
Wprowadź głębokość otworu [ld]:  [mm]
Wprowadź liczbę otworów [i]:
Wprowadź prędkość obrotową wrzeciona [n]:  [obr/min]
Wprowadź posuw na obrót [f]:  [mm/obr]